에지 검출과 미분
✔︎ 에지 edge
에지는 영상에서 픽셀의 밝기 값이 급격하게 변하는 부분을 말한다. 객체와 객체, 객체와 배경에 어떤 경계를 나타내는 용어이다.
경계부분에는 픽셀값이 크게 변경된다고 가정하고 에지를 구한다.
영상에 미분을 하는 이유는 에지를 검출하기 위함입니다.
✔︎ 기본적인 에지 검출 방법
에지 검출을 위해 픽셀값이 급격하게 변하는 부분을 찾아야한다.
미분은 변화율을 나타내는 척도로, 영상을 미분하여 에지를 검출할 수 있다.
영상을 (x,y) 변수의 함수로 간주했을 때, 이 함수의 1차 미분 값이 크게 나타나는 부분을 검출한다.

검출한 미분값에 T 임계값을 설정해주는 것이 중요하다. 임계값보다 높으면 에지로 판단하게 된다.
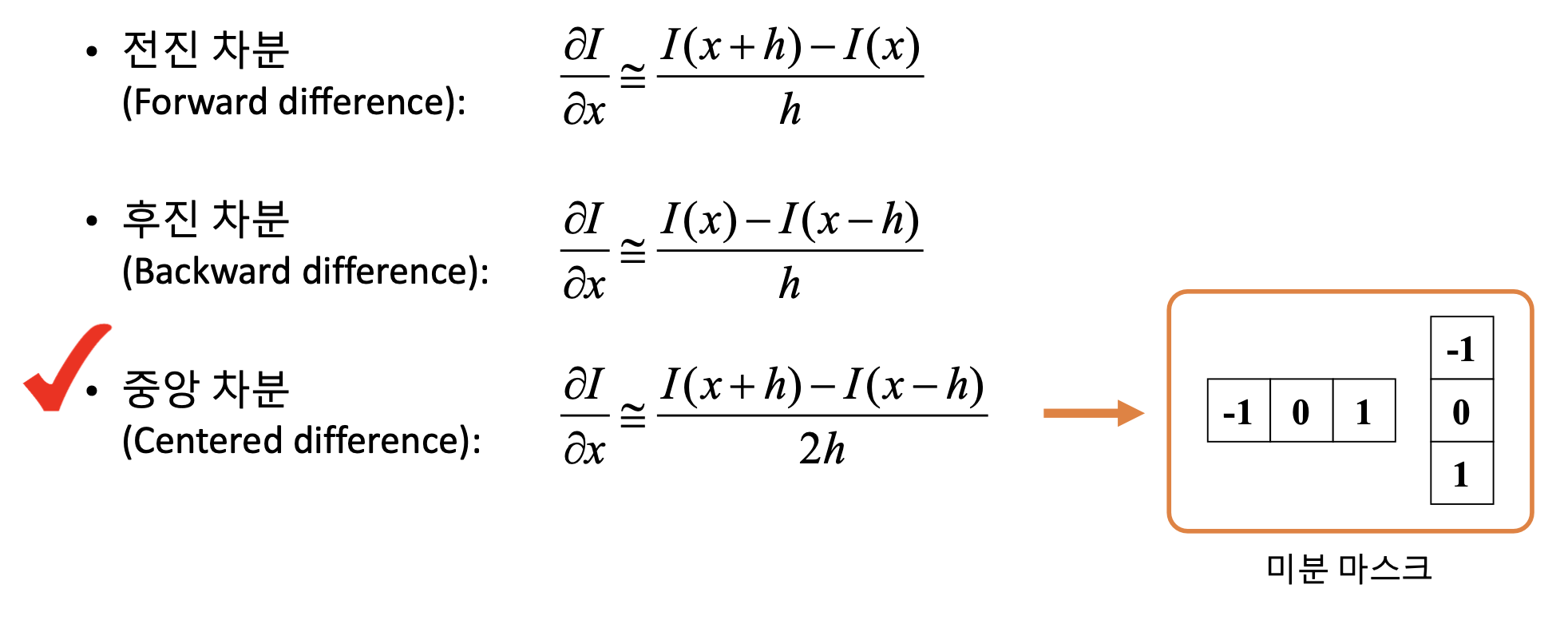
✔︎ 1차 미분의 근사화
미분은 전진 차분(Forward difference), 후진 차분(Backward difference), 중앙 차분(Centered difference) 세 가지 종류가 있다.
이 중 중앙 차분이 가장 정확하다고 알려져 있다. 영상에서 중앙차분을 이용할 때는 1/2를 하지 않는다.
중앙차분을 마스크로 만들어 필터를 적용하면 영상의 미분 값을 구할 수 있다.

미분 마스크와 소벨 필터
3X1 마스크는 노이즈에 취약한 단점을 극복하기 위해 평균 값을 이용하는 3X3 마스크가 제안되었다.
하지만 평균값 필터보다는 가우시안 블러의 효과가 더 좋듯이 소벨필터는 3X3 마스크에 가중치를 적용한다.

소벨필터보다 3대 10대 3대 비율을 쓰는 샤를필터가 미분 효과는 더 좋다고 알려져 있지만 소벨필터의 1,2,1이 직관적으로 보이기 때문에 소벨필터를 주로 쓴다.
✔︎ 소벨 필터를 이용한 미분 함수 - cv2.Sobel
dst = cv2.Sobel(src, ddepth, dx, dy, dst=None, ksize=None, scale=None,
delta=None, borderType=None)
- src : 입력 영상
- ddepth : 출력 영상 데이터 타입. -1이면 입력 영상과 같은 데이터 타입을 사용.
- dx : x 방향 미분 차수. 1차미분할지 2차미분 할지 결정
- dy : y 방향 미분 차수.
- dst : 출력 영상(행렬)
- ksize : 커널 크기. 기본값은 3.
- scale : 연산 결과에 추가적으로 곱할 값. 기본값은 1.
- delta : 연산 결과에 추가적으로 더할 값. 기본값은 0.
- borderType : 가장자리 픽셀 확장 방식. 기본값은 cv2.BORDER_DEFAULT.
✔︎ 샤를 필터를 이용한 미분 함수 - cv2.Scharr
dst = cv2.Scharr(src, ddepth, dx, dy, dst=None, scale=None, delta=None,
borderType=None)
- src : 입력 영상
- ddepth : 출력 영상 데이터 타입. -1이면 입력 영상과 같은 데이터 타입을 사용.
- dx : x 방향 미분 차수
- dy : y 방향 미분 차수.
- dst : 출력 영상(행렬)
- scale : 연산 결과에 추가적으로 곱할 값. 기본값은 1
- delta : 연산 결과에 추가적으로 더할 값. 기본값은 0.
- borderType : 가장자리 픽셀 확장 방식. 기본값은 cv2.BORDER_DEFAULT
💬 소벨 필터를 이용한 영상의 미분 예제
import sys
import numpy as np
import cv2
src = cv2.imread('lenna.bmp', cv2.IMREAD_GRAYSCALE)
if src is None:
print('Image load failed!')
sys.exit()
dx = cv2.Sobel(src, -1, 1, 0, delta=128)
dy = cv2.Sobel(src, -1, 0, 1, delta=128)
cv2.imshow('src', src)
cv2.imshow('dx', dx)
cv2.imshow('dy', dy)
cv2.waitKey()
cv2.destroyAllWindows()

x방향 미분은 y방향 미분을 나타내지 못하고
y방향 미분은 x방향 미분을 나타내지 못한다.
따라서 윤곽선 검출을 위해서는 두 미분을 합쳐서 이용해야 한다.
'OpenCV' 카테고리의 다른 글
| [OpenCV with Python] 영상의 특징 추출 : 캐니 에지 검출 cv2.Canny (1) | 2022.02.04 |
|---|---|
| [OpenCV with Python] 영상의 특징 추출 : 그래디언트와 에지 검출 (0) | 2022.02.04 |
| [OpenCV with Python] 영상 기하학적 변환 : 리매핑(remapping) - cv2.remap (0) | 2022.02.02 |
| [OpenCV with Python] 영상 기하학적 변환 : 투시 변환 (0) | 2022.02.02 |
| [OpenCV with Python] 영상 기하학적 변환 : 어파인 변환 (0) | 2022.02.02 |